常见数据结构(二)
编辑
445
2022-04-30
树
树是 n(n>=0)个节点的有限集合。
当 n=0 时,称为空树;
当 n>0 时:
1.有且仅有一个根节点
2.子节点(子集合)本身又是一颗树,称为子树
3.子树之间互不相交

子树之间有交叉则会破坏树的定义:

二叉树
满足
树的特征,同时每棵树的子节点最多 2 个。

二叉排序树(二叉查找树)
满足
二叉树的特征,同时:
1.左子树不空时,左子树所有节点的值均小于其根节点的值
2.右子树不空时,右子树所有节点的值均大于其根节点的值

平衡二叉树
满足
二叉排序树的特征,同时任何节点的左右高度差小于等于1。
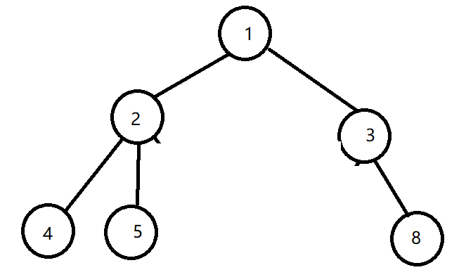
平衡二叉树,通过二叉排序树演变而来。根据二叉排序树的特征,比如当存储一系列带有顺序特性的数据时,二叉排序树容易退化成一条链,如上图以 4 为根节点的子树左右高度不平衡,因此需要通过 旋转 来满足平衡二叉树的特征,来控制树的高度。

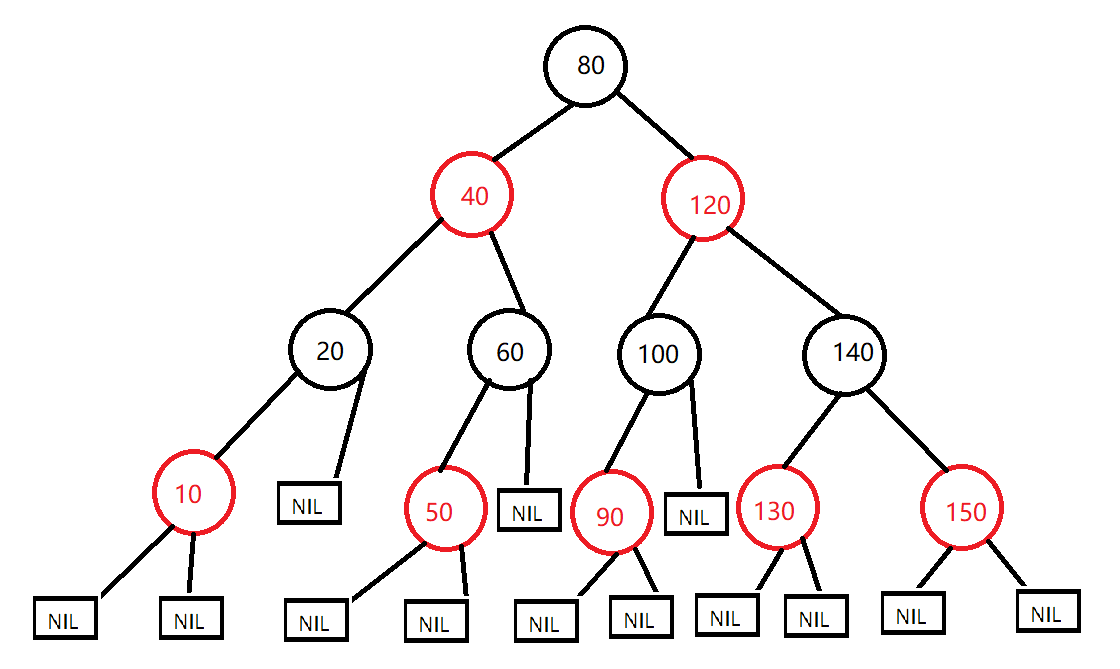
红黑树
红黑树也是从平衡二叉树演变而来。
平衡二叉树,要求左右子树高度差不能超过1,当每次进行插入/删除操作时,几乎都需要通过旋转来保持树的平衡,频繁的旋转操作导致平衡二叉树的性能大打折扣。
红黑树通过牺牲严格的树高度平衡,来换取插入/删除操作时更少次数的旋转。
红黑树是一种自平衡的二叉查找树,但并非树高度的平衡,它的平衡是通过红黑树的特征来实现的。
规则
- 每个节点,不是红色,就是黑色
- 根节点必须是黑色
- 区别于传统的叶子节点,红黑树的叶子节点是末梢空节点(NIL),而且是黑色
- 一个节点是红色,则其两个子节点必然黑色,不能出现连续的红色
- 对于每个节点,从该节点开始,到其所有后代叶子节点的路径上,均包含相同数量的黑色节点

- 1
- 0
-
分享